|
振动流化床干燥机的降速干燥段此段物料水分低于临界湿含量,物料温度升高,干燥推动力下降,干燥速度下降,湿含量越小,干燥速度也越小。物料颗粒表面不再湿润,水分必须由固体内部向表面移动,此时决定振动流化床干燥机干燥速率的主要因素是颗粒内部水分移动的阻力;而气-固换热系数增加等外部因素的影响较小。这样振动流化床干燥机其降速段干燥速度与普通振动流化床干燥机类似,而近似符合线性下降规律。即:
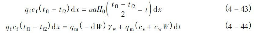
式中下标d和c分别表示降速段和恒速段;F=W-We , Fc=Wc-We We——平均湿含量。 将振动流化床干燥机恒速干燥段式(4-39)及单值条件x=x1时,W=Wc代入整理得:
 上式即为降速干燥段湿含量与料层长度关系式。 根据恒速段长度及振动流化床干燥机长度可确定振动流化床干燥机物料出口湿含量。 在降速干燥段热流体供给物料的热量仅有一部分用于去湿,而其余部分热量用于加热物料。在振动流化床干燥机中物料的出口温度对物料的质量有较大影响,特别是对热敏性物料更为重要。在降速干燥段,根据能量守恒可得下式:
 联立上式方程并整理得:

代入公式(4-41),并近似取γw为常数(物料出口)。 当W<0.1时及Cs+Cw大约等于Cs,整理可得:
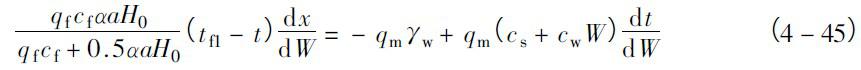
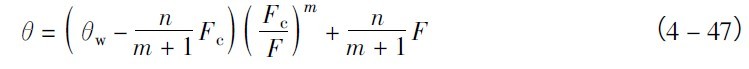
 式中 θ=t-tf1, F=W-We 上述方程为一阶线性非齐次常微分方程,单值性条件为:θ=θw=tw-tf1时F=Fc=Wc-We,求解:
 的闪蒸干燥机的发展将呈现以下趋势: (1)水稻烘干机的生产能力应向大型化发展,今后需要研制处理量在每小时20-30吨的设备。 (2)设计将高水分谷物一次降到安全标准的设备,要求降幅10%以上。为此,有两条途径:一是采用联合烘干法,即将两种以上烘干方法的烘干食品类物料主要是指大豆蛋白、胶疑淀粉、酒糟、小麦糖、小麦淀粉等,针对这些物料进行干燥选择闪蒸干燥机干燥^好。在使用闪蒸干燥机时需要注意它的导轨磨损。 闪蒸干燥机的床身、立柱、横梁、工作台、滑板等大件的导轨磨损后,一般按几何精度标准及实际工作精度衡量是否需要修复。在本标准中列出了闪蒸干燥机主要传沸腾干燥机的结构是为了避免舍入死角。在料斗的内侧搅拌装置具有防止结块形成流动原料的管。颗粒是由接管过程输出。这是非常方便就够了。FG系列立式沸腾干燥机从系统的输出也可以设计上的要求。它工作在负压和密封的状态。空气过滤器。因此,它是简便的清洗。它是理想的工具,以满足GMP要求。速度快的干燥温度均匀。干烘箱温控仪用来控制和显示温度,当烘箱内温度低于设定温度时,温控仪控制加热器连续发热或间隙发热,使烘箱内温度达到可控的目的。鼓风风机的作用是使干燥烘箱内的空气水平(台式电热鼓风烘箱)或垂直(立式鼓风烘箱)对流循环,使烘箱内空气吹送到电加热器上加热后送到工作室,然后由工作室吸入风机再吹到电热管上加热,不 现阶段,由于其运用技术的不断发展,我们的沸腾干燥机类型与应用也更加广泛了。但是,你知道沸腾干燥机有哪些类型吗?下面小编就为大家简单总结一下其分类方法。 沸腾干燥机有哪些类型? 1、根据物料分类:可分为三类,即粒状物料、膏状物料和具有
|