|
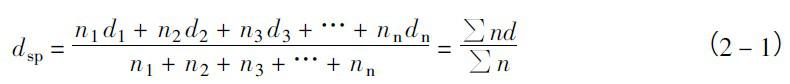
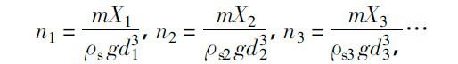
确定振动流化床干燥机固体颗粒平均直径的方法 1、振动流化床干燥机算术平均粒径dsp,设n1,n2,n3分别为直径d1,d2,d3,的颗粒数目,则其算术平均粒径为: 若直径为d1,d2,d3……,的颗粒的质量百分数为x1,x2,x3……而颗粒的总质量为m0。则 
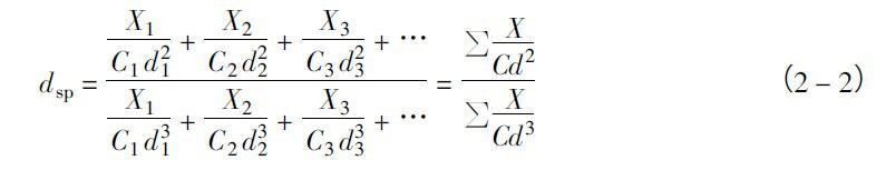
式中,Ps为颗粒的密度,假定c1,c2,c3,……均为常数,被称为“体积系数”。与颗粒的形状有关(如球体:C=π/6,正方体:C=1等),代入上式得
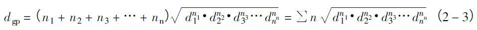
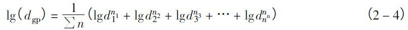
 2、振动流化床干燥机几何平均粒径 若固体颗粒直径为d1,d2,d3…的颗粒数目各为n1,n2,n3…其几何平均直径为:
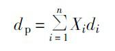
 若取对数值,则 同理: 3、振动流化床干燥机粗颗粒的平均粒径计算当固体颗粒较大,如小米、小麦、大豆、合成树脂颗粒等物料,一般粒径在1-20mm时,可采用此法。先从试样品中任选几百粒放在天平上称其质量为m,假定粒子的真实相对密度为Ps,则平均粒径dp,可按下式计算:
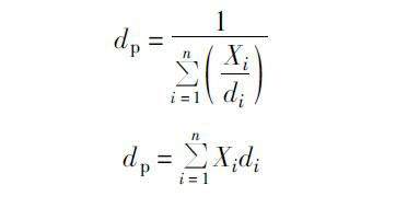
 4、振动流化床干燥机细粉颗粒的平均粒径的计算如水泥、矾土、白土、合成树脂粉末等可采用计算调和平均粒径的方法。设在一定量的细粉物料中直径为d1的粒子占总质量百分数x1,直径为d2的粒子占总质量百分数x2,直径为dn的粒子占总质量之百分数xn则全部粒子的平均粒径dp为
 若用简单的算术平均值计算,即 5、振动流化床干燥机颗粒直径的测定 振动流化床干燥机筛分法将一定的粉料(大约50-100克左右)用筛孔尺寸分别为d`1,d`2,d`3至d`n+1的n+1个筛孔进行分级筛分。若:d`1至d`2粒级的平均粒径为d1,占总质量的百分数为x1,d`2至d`3粒级的平均粒径为d2,占总质量的百分数为x2。d`n至d`n+1粒级的平均直径为dn,占总质量的百分数为xn。则
 把求得的d1/d2/d3/…dn和由筛分得出的各部分颗粒群的质量百分数x1,x2,xn,按和计算平均直径dp0,筛分法测定简单,人为的误差较小。 我国的干燥设备较重要的作用就是来干燥物品的工具,它主要是因为固体物质因为里边有还有水分,经过加热使水分汽化,特别是我国这个特殊的国家,因为我国是一个中医大国,也是一个人口大国,所以很多地方都有用的干燥设干燥机很多,各有各的功能,有它比较适合的物料,像盘式干燥机就可以用来对棉籽饼粕进行干燥处理,它究竟是怎么对棉籽饼粕进行干燥的,它的工作原理又是什么,看了下面的介绍应该就可以清楚的知道它的工作原理香兰素沸腾干燥机洁净的热风经阀板分配进入床体,从加料进入的湿物料被热风形成沸腾状态。由于热风与物料广泛接触,增加了传热传质的过程,因此在较短时间内就可干燥。从床体的一头进入,经过几十秒至几分钟沸腾干燥,自动从床体另一头流出。本设备一般进行负压操作。由于干燥物料的性质不同,配套除尘设备时,可按需要而进当使用沸腾干燥设备干燥物料时,物料在流化床中的停留时间非常重要。如果停留时间过长,将导致过度干燥。合理设计流化床结构,是控制流化床内物料的关键。 沸腾干燥机具有多种型号,例如单层流化床干燥设备、多层流化床干燥设备和卧式多室流化床干燥设备。 当使用单层流化床干燥设备时,物料处于完全混合状态。物料可振动流化床干燥机使用的前提和基础就在对振动流化床干燥机的维护与保养。振动流化床干燥机的日常保养关系着机器工作的稳定性,有了稳定的工作才能达到效益,才不会因振动流化床干燥机需要进行大修或更换新设备。这样大大的节约了企业成本,对企业资源的合理配置也不会产生影响。 有效的振动流化床干燥机设备管理机制
|